Alex Knorre

Alex Knorre

I study how we know what we think we know about crime and violence. I work on measurement problems in criminology, especially where official data is missing, manipulated, or systematically biased: crime victims, illegal markets, and criminal justice in settings with politicized administrative data. My work combines new measurement methods, descriptive evidence on hard-to-measure populations and behaviors, and causal evaluation of the natural experiments or policies that affect them. Building reproducible research infrastructure is a core part of how I work, and I release the underlying data and code when possible so other researchers can build on it.

I am an Assistant Professor in the Department of Criminology at the University of South Florida. I received my Ph.D. in Criminology and A.M. in Statistics from the University of Pennsylvania, and worked as a Postdoctoral Research Fellow in Computer Science at Boston College. Before joining Ph.D. program, I studied Russian criminal justice as a researcher with the Institute for the Rule of Law, European University at St. Petersburg. Recent work appears in PLoS One, Justice Quarterly, Journal of Criminal Justice, Aggression & Violent Behavior, and Criminology & Public Policy.

My CV is available here: PDF, 120Kb

My profiles: LinkedIn, Github, Google Scholar.

Papers

Figure from Unequal by the Gun: Four Decades of the Black-White Firearm Homicide Gap
Unequal by the Gun: Four Decades of the Black-White Firearm Homicide Gap
Alex Knorre, John MacDonald (2026). PLoS One.
We analyze 45 years of CDC data on gun homicide deaths in the U.S. and find that the racial disparity in firearm homicide between Black and White Americans has grown over time. By 2020, Black males faced over ten times the risk of gun homicide death compared to White males.
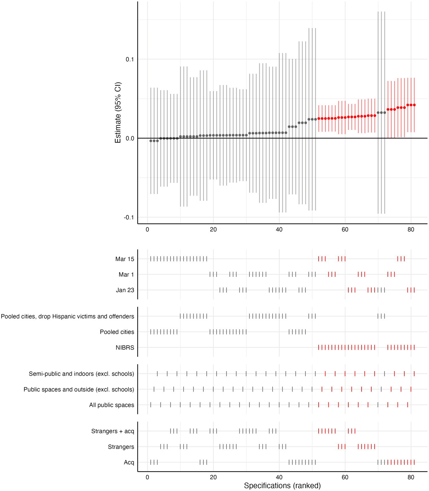
Figure from Measuring Changes in Bias-Motivated Attacks: Evidence from Anti-Asian Violence During the COVID-19 Pandemic
Measuring Changes in Bias-Motivated Attacks: Evidence from Anti-Asian Violence During the COVID-19 Pandemic
Alex Knorre, Britte van Tiem, Aaron Chalfin (2025). Justice Quarterly.
We propose a new method to measure changes in bias-motivated violence using crime data. Applying it to the early COVID-19 period, we find that anti-Asian violence by strangers rose significantly compared to other groups.
Figure from The Limits of Digital Liberation: The Social Locations of Gang-affiliated Girls and Women in the Digital Streets
The Limits of Digital Liberation: The Social Locations of Gang-affiliated Girls and Women in the Digital Streets
John Leverso, Kate O’Neill, Alex Knorre, George Mohler (2025). Journal of Criminal Justice.
We examine the social positions of gang-affiliated girls and women in online spaces. Our findings reveal that digital platforms do not equalize gender hierarchies within gangs, as women’s online roles largely mirror their constrained positions offline.
Figure from Place-Based Approaches to Reducing Violent Crime Hot Spots: A Review of the Evidence on Public Health Approaches
Place-Based Approaches to Reducing Violent Crime Hot Spots: A Review of the Evidence on Public Health Approaches
John MacDonald, Alex Knorre, David Mitre-Becceril, Aaron Chalfin (2024). Aggression and Violent Behavior.
We review the evidence on place-based public health approaches to reducing violent crime at hot spots. The review synthesizes findings on environmental interventions and community health strategies as alternatives to traditional policing.
Figure from The Lull Before the Storm? Criminal Justice, Crime and Incarceration in Russia (2000-2020)
The Lull Before the Storm? Criminal Justice, Crime and Incarceration in Russia (2000-2020)
Alex Knorre, Vladimir Kudryavtsev, Ekaterina Khodzhaeva, Ksenia Runova, Kirill Titaev (2024). Europe-Asia Studies.
We document trends in criminal justice, crime, and incarceration in Russia during the 2000-2020. We describe the organizational structure of criminal justice in Russia and dominating role of key perfomance indicators. We also interpret the Russian crime drop, and issues with incarceration and illegal drugs.
Figure from Stakeholder Activism and Foreign Firm Exit From Russia in 2022
Stakeholder Activism and Foreign Firm Exit From Russia in 2022
Alex Knorre, Ruslan Kuchakov, Dmitriy Skougarevskiy (2024). Economics Bulletin.
We study the role of stakeholder activism in driving foreign firms to exit Russia following the 2022 invasion of Ukraine. We find that public pressure from consumers and advocacy groups significantly influenced corporate withdrawal decisions.
Figure from Hydra: Lessons from the World's Largest Darknet Market
Hydra: Lessons from the World’s Largest Darknet Market
Priyanka Goonetilleke, Alex Knorre, Artem Kuriksha (2023). Criminology & Public Policy.
We analyze the operations of Hydra, the world’s largest darknet marketplace. Using unique data, we document its structure, scale, and the criminal economy it sustained before its seizure by law enforcement in 2022.
Figure from Shootings and Land Use
Shootings and Land Use
Alex Knorre, John MacDonald (2023). Journal of Criminal Justice.
We examine the relationship between land use patterns and shootings using data from 6 large American cities. We find that the post 2020 increase in shootings disproportionately happened in already violent areas, and look at the concentration of shootings.
Figure from Comparing Risks of Firearm-Related Death and Injury Among Young Adult Males in Selected US Cities With Wartime Service in Iraq and Afghanistan
Comparing Risks of Firearm-Related Death and Injury Among Young Adult Males in Selected US Cities With Wartime Service in Iraq and Afghanistan
Brandon Del Pozo, Alex Knorre, Aaron Chalfin, Michael Mello (2022). JAMA Network Open.
We compare gun violence risks for young men in high-violence U.S. cities to casualty rates among soldiers deployed to Iraq and Afghanistan. For some young males in Philadelphia and Chicago, the risk of firearm death exceeded that of wartime service.
Figure from Do Russian Police Fabricate Drug Offenses? Evidence From Seized Heroin's Weight Distribution
Do Russian Police Fabricate Drug Offenses? Evidence From Seized Heroin’s Weight Distribution
Alex Knorre (2020). Journal of Drug Issues.
I test whether Russian police fabricate drug offenses by analyzing the distribution of seized heroin weights. The statistical evidence suggests systematic bunching at legal thresholds, consistent with evidence planting by officers.

Data

I prepared and maintain the following datasets:

Replication package for ``Unequal by the gun: Four Decades of Black-White Firearm Homicide Gap’’ (2026) on Github

Replication package for ‘’Measuring Changes in Bias-Motivated Attacks: Evidence from Anti-Asian Violence During the COVID-19 Pandemic’’ (2025) on OSF

Replication package for ‘’Comparing risks of firearm-related death and injury among young adult males in US cities to wartime service in Iraq and Afghanistan’’ (2022) on Github

Russian Crime Victimization Survey, Wave I (2018) on Dataverse, Wave II (2021) on Dataverse

Homicide rates in Russian cities (2020), data and guide in Russian on Github

Also, check out the TV Shows app.